基本信息:
中文名称 2,2''-联吡啶-5,5''-二羧酸
中文别名 2,2''-二吡啶-5,5''-二羧酸;2,2’-联吡啶-5,5’-二羧酸;2,2''-联吡啶-5,5''-二甲酸;
英文名称 6-(5-carboxypyridin-2-yl)pyridine-3-carboxylic acid
英文别名 2,2''-Bipyridine-5,5''-dicarboxylic Acid;2,2''-BICINCHONINIC ACID DIPOTASSIUM SALT [FOR DETERMINATION OF CU];5,5''-Dicarboxy-2,2''-bipyridine;2,2''-bipyridin-5,5''-dicarbons;[2,2''-Bipyridine]-5,5''-dicarboxylic acid;2,2''-bipyridyl-5,5''-dicarboxylic acid;
CAS号 1802-30-8
合成路线:
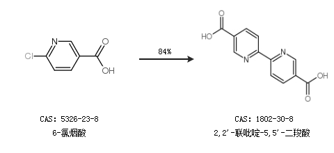
1.通过6-氯烟酸合成2,2''-联吡啶-5,5''-二羧酸,收率约84%;

2.通过5 5''-二甲基-2,2''-二吡啶合成2,2''-联吡啶-5,5''-二羧酸,收率约97%;

中华试剂网提醒:合成路线仅供参考