基本信息:
中文名称 2,2-二溴-4’-氟苯乙酮
中文别名 A,a-二溴-4-氟苯乙酮;2,2-二溴-4''-氟苯乙酮;2,2-双[对-(2-缩水甘油氧基-3-丁氧基丙氧基)苯基]丙烷;
英文名称 2,2-dibromo-1-(4-fluorophenyl)ethanone
英文别名 2,2-DIBROMO-4''-FLUOROACETOPHENONE;
CAS号 7542-64-5
合成路线:
1.通过4-氟苯乙炔合成2,2-二溴-4’-氟苯乙酮

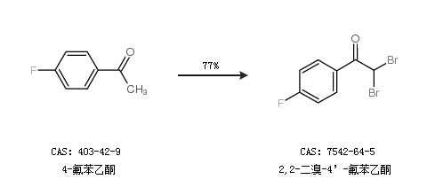
2.通过4-氟苯乙酮合成2,2-二溴-4’-氟苯乙酮,收率约77%;

中华试剂网提醒:合成路线仅供参考