基本信息:
中文名称 2,2’-二氯联苯胺
中文别名 2,2''-羰基-双-(3,5-二氧代-4-甲基-1,2,4-噁二唑烷);2,2''-二氯联苯胺;2,2''-二氯-4,4''-二氨基联苯;2,2''-二氯-4,4''-二氨基联苯;4,4-二氨基-2,2-二氯联苯;
英文名称 4-(4-amino-2-chlorophenyl)-3-chloroaniline
英文别名 2,2''-Dichlor-benzidin;2,2''-CARBONYL-BIS(3,5-DIOXO-4-METHYL-1,2,4-OXADIAZOLIDINE);4,4''-Diamino-2,2''-dichlorobiphenyl;2,2''-Dichlorobenzidine;2,2''-dichlorobiphenyl-4,4''-diamine;2,2''-dichloro-4,4''-biphenylenediamine;2,2''-dichloro[1,1''-biphenyl]-4,4''-diamine;Benzidine,2,2''-dichloro;o-Dichlorobenzidine;EINECS 201-552-7;
CAS号 84-68-4
合成路线:
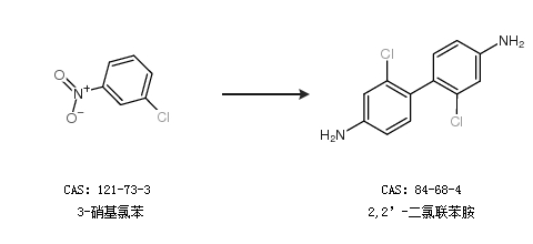
1.通过3-硝基氯苯合成2,2’-二氯联苯胺

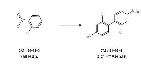
2.通过邻氯硝基苯合成2,2’-二氯联苯胺

中华试剂网提醒:合成路线仅供参考