基本信息:
中文名称 2-(Boc-氨基)-2-(3-吡啶)乙酸
中文别名 2-(Boc-氨基)-2-(3-吡啶基)乙酸;
英文名称 2-[(2-methylpropan-2-yl)oxycarbonylamino]-2-pyridin-3-ylacetic acid
英文别名 tert-Butoxycarbonylamino-pyridin-3-yl-acetic acid;
CAS号 347187-29-5
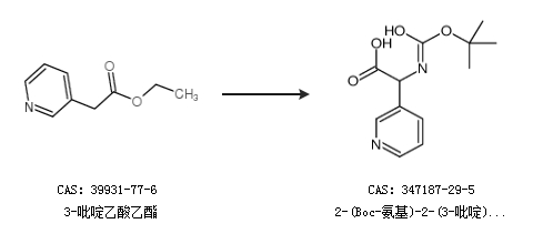
合成路线:
1.通过3-吡啶乙酸乙酯合成2-(Boc-氨基)-2-(3-吡啶)乙酸

2.通过3-吡啶乙酸盐酸盐合成2-(Boc-氨基)-2-(3-吡啶)乙酸

中华试剂网提醒:合成路线仅供参考