你好,欢迎来到中华试剂网 购试剂 买耗材! [请登录][注册有惊喜]

货号快速下单 | 签到送积分   | 会员中心 | 客服热线:400-021-2765

2-(3-吡啶基)-1-乙醇的合成路线

提问时间:2021/4/23 8:54:09
2-(3-吡啶基)-1-乙醇有什么方法可以合成?

1条回复:

匿名
2021/4/23 8:54:09
基本信息:
中文名称 2-(3-吡啶基)-1-乙醇
中文别名 3-(2-羟乙基)吡啶;
英文名称 2-(3-Pyridyl)-1-ethanol
英文别名 2-pyridin-3-ylethanol;
CAS号 6293-56-7

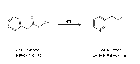
合成路线:
1.通过吡啶-3-乙酸甲酯合成2-(3-吡啶基)-1-乙醇,收率约67%;


2.通过3-吡啶乙酸乙酯合成2-(3-吡啶基)-1-乙醇,收率约78%;


中华试剂网提醒:合成路线仅供参考
回复