你好,欢迎来到中华试剂网 购试剂 买耗材! [请登录][注册有惊喜]

货号快速下单 | 签到送积分   | 会员中心 | 客服热线:400-021-2765

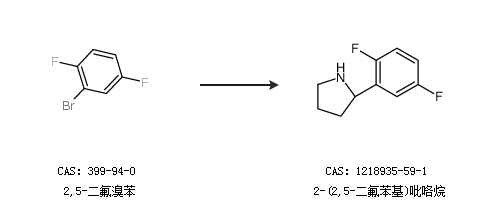
2-(2,5-二氟苯基)吡咯烷的合成路线

提问时间:2021/4/23 8:54:09
2-(2,5-二氟苯基)吡咯烷有什么方法可以合成?

1条回复:

匿名
2021/4/23 8:54:09
基本信息:
中文名称 2-(2,5-二氟苯基)吡咯烷
英文名称 (2R)-2-(2,5-Difluorophenyl)pyrrolidine
CAS号 1218935-59-1

合成路线:
1.通过2,5-二氟溴苯合成2-(2,5-二氟苯基)吡咯烷


中华试剂网提醒:合成路线仅供参考
回复