基本信息:
中文名称 1-异丙基-1H-吲哚-2,3-二酮
英文名称 1-propan-2-ylindole-2,3-dione
英文别名 1-1-methylethylindoline-2,3-dione;1-isopropylindoline-2,3-dione;1-isopropylisatin;1-isopropyl-1H-indole-2,3-dione;N-isopropylindoline-2,3-dione;1-isopropylindole-2,3-dione;N-isopropylisatin;
CAS号 10487-31-7
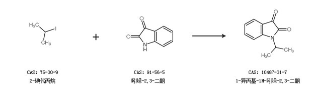
合成路线:
1.通过2-碘代丙烷和吲哚-2,3-二酮合成1-异丙基-1H-吲哚-2,3-二酮

2.通过吲哚-2,3-二酮和2-溴丙烷合成1-异丙基-1H-吲哚-2,3-二酮

中华试剂网提醒:合成路线仅供参考