基本信息:
中文名称 1-溴二苯并[b,d]呋喃
英文名称 1-Bromodibenzo[b,d]fur
英文别名 1-Brom-dibenzofuran;6-Bromomannitol;1-Aminodibenzofuran;1-bromo-1-deoxyhexitol;1-bromo-dibenzofuran;6-Bromo-6-deoxy-D-mannitol;6-Brom-6-desoxy-D-mannitol;1-bromo-D-1-deoxy-mannitol;6-Monobromomannitol;MBM;
CAS号 50548-45-3
合成路线:
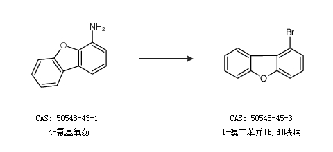
1.通过4-氨基氧芴合成1-溴二苯并[b,d]呋喃

中华试剂网提醒:合成路线仅供参考