基本信息:
中文名称 1-氯-3,5-二对氯苯甲酰氧基-2-脱氧-D-核糖
中文别名 1-氯-3,5-二对氯苯甲酰氧基-D-呋喃核糖;1-氯-3,5-二(O-对氯苯甲酰基)-2-脱氧-D-核糖;1-氯-3,5-二对氯苯甲酰基-2-脱;1-氯-3.5-二对氯苯甲酰基-2-脱;
英文名称 1-Chloro-3,5-di(4-chlorbenzoyl)-2-deoxy-D-ribose
英文别名 1-chloro-3,5-di-O-p-chlorobenzoyl-1,2-di-deoxy-D-ribofuranose;1-Chloro-3,5-di-(p-chlorobenzoyl)-2-deoxy-D-ribose;1-chloro-3,5-di-p-chlorobenzoyl-D-ribofuranose;1-CHLORO-3,5-DIPARACHLOROBENZOYL-2-DEOXY-D-RIBOSE;
CAS号 3601-90-9
合成路线:
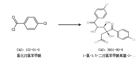
1.通过氯化对氯苯甲酰合成1-氯-3,5-二对氯苯甲酰氧基-2-脱氧-D-核糖,收率约82%;

2.通过氯化对氯苯甲酰合成1-氯-3,5-二对氯苯甲酰氧基-2-脱氧-D-核糖

中华试剂网提醒:合成路线仅供参考