你好,欢迎来到中华试剂网 购试剂 买耗材! [请登录][注册有惊喜]

货号快速下单 | 签到送积分   | 会员中心 | 客服热线:400-021-2765

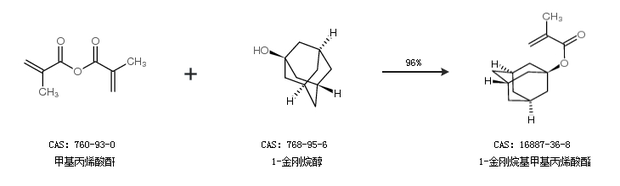
1-金刚烷基甲基丙烯酸酯的合成路线

提问时间:2021/4/23 8:54:09
1-金刚烷基甲基丙烯酸酯有什么方法可以合成?

1条回复:

匿名
2021/4/23 8:54:09
基本信息:
中文名称 1-金刚烷基甲基丙烯酸酯
中文别名 1-甲基丙烯酸金刚烷酯;
英文名称 Adamantan-1-yl methacrylate
英文别名 1-adamantyl 2-methylprop-2-enoate;
CAS号 16887-36-8

合成路线:
1.通过2-甲基丙烯酸和1-金刚烷醇合成1-金刚烷基甲基丙烯酸酯,收率约92%;


2.通过甲基丙烯酸酐和1-金刚烷醇合成1-金刚烷基甲基丙烯酸酯,收率约96%;


中华试剂网提醒:合成路线仅供参考
回复