基本信息:
中文名称 1-甲基-6-氟甲基脲嘧啶
英文名称 6-fluoro-1,5-dimethylpyrimidine-2,4-dione
英文别名 6-FLUORO-1,5-DIMETHYL-2,4(1H,3H)-PYRIMIDINEDIONE;1-methyl-6-fluorothymine;2,4(1H,3H)-Pyrimidinedione,6-fluoro-1,5-dimethyl;
CAS号 112706-72-6
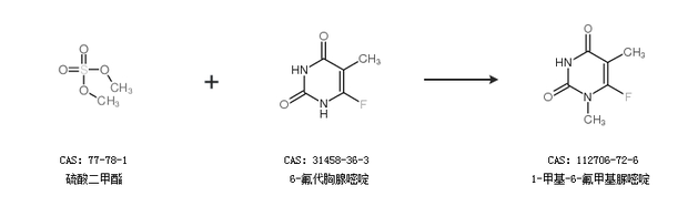
合成路线:
1.通过硫酸二甲酯和6-氟代胸腺嘧啶合成1-甲基-6-氟甲基脲嘧啶

2.通过2,4,6-三氟-5-甲基嘧啶合成1-甲基-6-氟甲基脲嘧啶

中华试剂网提醒:合成路线仅供参考