基本信息:
中文名称 1-N-乙基苯-1,2-二胺
英文名称 2-N-ethylbenzene-1,2-diamine
英文别名 N-Ethyl-o-phenylenediamine;N-ethyl-1,2-phenylenediamine;1-N-ethylbenzene-1,2-diamine;n-ethylbenzene-1,2-diamine;(2-aminophenyl)ethylamine;N-ethyl orthophenylenediamine;N1-ethylbenzene-1,2-diamine;o-amino-N-ethylaminobenzene;
CAS号 23838-73-5
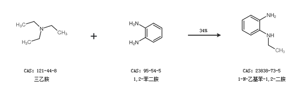
合成路线:
1.通过N-乙基-2-硝基苯胺合成1-N-乙基苯-1,2-二胺,收率约99%;

2.通过三乙胺和1,2-苯二胺合成1-N-乙基苯-1,2-二胺,收率约34%;

中华试剂网提醒:合成路线仅供参考