基本信息:
中文名称 1H-吡咯并[2,3-b]吡啶-2-羧酸乙酯
中文别名 1H-吡咯并[2,3-B]吡啶-2-甲酸乙酯;7-氮杂吲哚-2-甲酸乙酯;1H-吡咯并[2,3-b]吡啶-2-甲酸乙酯;
英文名称 ethyl 1H-pyrrolo[2,3-b]pyridine-2-carboxylate
英文别名 HIN1666;ethyl 7-azaindole-2-carboxylate;SC3721;
CAS号 221675-35-0
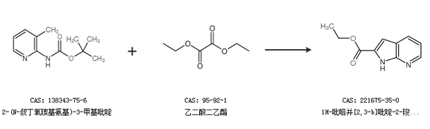
合成路线:
1.通过2-溴-3-吡啶甲醛和氰乙酸乙酯合成1H-吡咯并[2,3-b]吡啶-2-羧酸乙酯,收率约35%;

2.通过2-(N-叔丁氧羰基氨基)-3-甲基吡啶和乙二酸二乙酯合成1H-吡咯并[2,3-b]吡啶-2-羧酸乙酯

中华试剂网提醒:合成路线仅供参考