基本信息:
中文名称 11-Beta,17-alpha,21-三羟基-5-alpha-孕烯-3,20-二酮
英文名称 (5α,11β)-11,17,21-Trihydroxypregnane-3,20-dione
英文别名 5Alpha-Dihydrocortisol;11Beta,17Alpha,20Alpha,21-Tetrahydroxy-21-acetoxy-3-oxo-pregnadien-(1,4);
CAS号 516-41-6
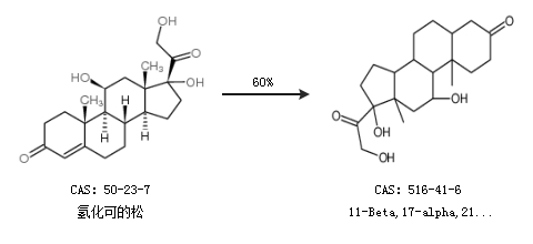
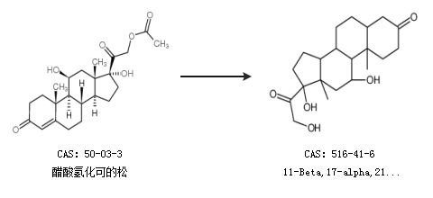
合成路线:
1.通过氢化可的松合成11-Beta,17-alpha,21-三羟基-5-alpha-孕烯-3,20-二酮,收率约60%;

2.通过醋酸氢化可的松合成11-Beta,17-alpha,21-三羟基-5-alpha-孕烯-3,20-二酮

中华试剂网提醒:合成路线仅供参考