你好,欢迎来到中华试剂网 购试剂 买耗材! [请登录][注册有惊喜]

货号快速下单 | 签到送积分   | 会员中心 | 客服热线:400-021-2765

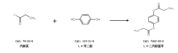
1,4-二丙酸基苯的合成路线

提问时间:2021/4/23 8:54:07
1,4-二丙酸基苯有什么方法可以合成?

1条回复:

匿名
2021/4/23 8:54:07
基本信息:
中文名称 1,4-二丙酸基苯
中文别名 对苯二酚二丙酸酯;
英文名称 1,4-Phenylene dipropionate
英文别名 1,4-Dipropionyloxybenzene;
CAS号 7402-28-0

合成路线:
1.通过丙酸酐和1,4-苯二酚合成1,4-二丙酸基苯


2.通过丙酰氯和1,4-苯二酚合成1,4-二丙酸基苯


中华试剂网提醒:合成路线仅供参考
回复