基本信息:
中文名称 1,3-二对甲苯基碳二酰亚胺
中文别名 1,3-双(P-甲苯)羰基二胺;
英文名称 1,3-di(p-tolyl)carbodiimide
英文别名 bis(4-tolyl)carbodiimide;Bis(p-tolyl)carbodiimide;1,3-bis[4-methylphenyl]carbodiimide;N,N''-Bis(4-methylphenyl)carbodiimide;N,N''-(4-Tol)2-carbodiimide;Di-p-tolylcarbodiimide;Bis(4-methylphenyl)carbodiimide;N,N''-bis(4-methylphenyl)methanediimine;1,3-Di-p-tolylcarbodiimide;EINECS 211-971-7;N,N''-di-p-Tolylcarbodiimide;
CAS号 726-42-1
合成路线:
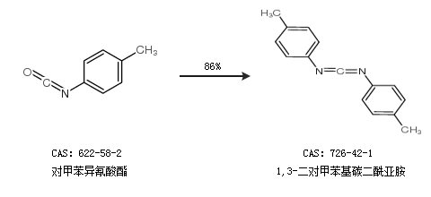
1.通过对甲苯异氰酸酯合成1,3-二对甲苯基碳二酰亚胺,收率约86%;

2.通过N,N’-双(对甲苯基)脲合成1,3-二对甲苯基碳二酰亚胺,收率约72%;

中华试剂网提醒:合成路线仅供参考