基本信息:
中文名称 1,3,5-萘三磺酸钠盐
中文别名 1,3,5-萘三磺酸钠;1,3,5-萘三磺酸;
英文名称 naphthalene-1,3,5-trisulfonic acid
英文别名 Naphthalene-1,3,5-trisulphonic acid;1,3,5-trisulfonaphthalene;Naphthalin-1,3,5-trisulfonsaeure;1,3,5-Naphthalene Trisulfonic Acid;NAPHTHYL-1,3,5-TRISULFONIC ACID;SODIUM NAPHTHALENE-1,3,5-TRISULFONATE;Sodium 1,3,5-naphthalenetrisulfonate;1,3,5-naphthalenedisulphonic acid;
CAS号 6654-64-4
合成路线:
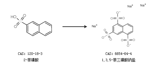
1.通过2-萘磺酸合成1,3,5-萘三磺酸钠盐

2.通过萘合成1,3,5-萘三磺酸钠盐

中华试剂网提醒:合成路线仅供参考