你好,欢迎来到中华试剂网 购试剂 买耗材! [请登录][注册有惊喜]

货号快速下单 | 签到送积分   | 会员中心 | 客服热线:400-021-2765

1,2-二邻甲苯基乙烷的合成路线

提问时间:2021/4/23 8:54:07
1,2-二邻甲苯基乙烷有什么方法可以合成?

1条回复:

匿名
2021/4/23 8:54:07
基本信息:
中文名称 1,2-二邻甲苯基乙烷
英文名称 2,2''-DIMETHYLBIBENZYL
英文别名 1,2-di-o-tolylethane;2,2''-dimethyl-bibenzyl;
CAS号 952-80-7

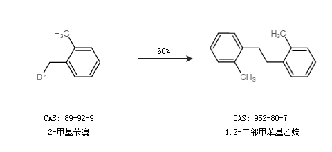
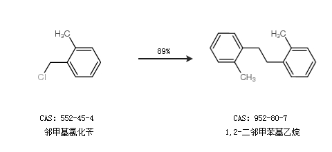
合成路线:
1.通过邻甲基氯化苄合成1,2-二邻甲苯基乙烷,收率约89%;


2.通过2-甲基苄溴合成1,2-二邻甲苯基乙烷,收率约60%;


中华试剂网提醒:合成路线仅供参考
回复