基本信息:
中文名称 1,2,3,4-四氢喹啉-6-甲酸
中文别名 1,2,3,4-四羟基-6-羧酸喹啉;
英文名称 1,2,3,4-Tetrahydro-6-quinolinecarboxylic Acid
英文别名 1,2,3,4-Tetrahydroquinoline-6-carboxylic acid;1,2,3,4-Tetrahydro-6-quinolinecarboxylic acid;1,2,3,4-tetrahydroquinoline-6-carboxylic acid;
CAS号 5382-49-0
合成路线:
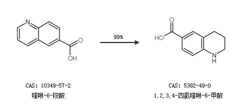
1.通过喹啉-6-羧酸合成1,2,3,4-四氢喹啉-6-甲酸,收率约99%;

2.通过1-乙酰基-1,2,3,4-四氢喹啉-6-甲腈合成1,2,3,4-四氢喹啉-6-甲酸,收率约61%;

中华试剂网提醒:合成路线仅供参考