基本信息:
中文名称 1-(5-溴-4-氯-2-噻吩基)乙酮
中文别名 3-氯-2-溴-5-乙酰基噻吩;
英文名称 1-(5-Bromo-4-chlorothiophen-2-yl)ethanone
英文别名 1-(5-Bromo-4-chloro-2-thienyl)ethanone;Ethanone,1-(5-bromo-4-chloro-2-thienyl);1-(5-Brom-4-chlor-2-thienyl)-ethanon;
CAS号 123418-66-6
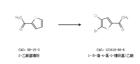
合成路线:
1.通过2-乙酰基-4-氯噻吩合成1-(5-溴-4-氯-2-噻吩基)乙酮,收率约92%;

2.通过2-乙酰基噻吩合成1-(5-溴-4-氯-2-噻吩基)乙酮

中华试剂网提醒:合成路线仅供参考