基本信息:
中文名称 1-(5-溴-2-氟苯基)乙酮
中文别名 2-氟-5-溴苯乙酮;2-氟-5-溴苯乙酮;5‘-溴-2''-氟苯乙酮;乙酮,1-(5-溴-2-氟苯基)-;1-(5-溴-2-氟苯基)乙酮;5-溴-2-氟苯乙酮;
英文名称 5ˊ-Bromo-2ˊ-fluoroacetophenone
英文别名 1-(5-bromo-2-fluorophenyl)ethanone;1-(5-Bromo-2-fluorophenyl)ethanone;
CAS号 198477-89-3
合成路线:
1.通过1-(5-溴-2-氟苯基)乙醇合成1-(5-溴-2-氟苯基)乙酮,收率约90%;

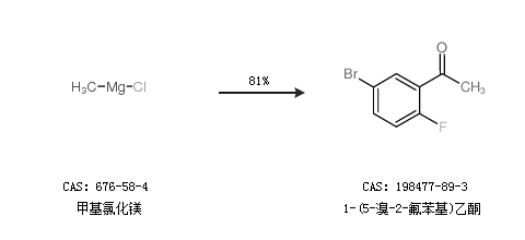
2.通过甲基氯化镁合成1-(5-溴-2-氟苯基)乙酮,收率约81%;

中华试剂网提醒:合成路线仅供参考