你好,欢迎来到中华试剂网 购试剂 买耗材! [请登录][注册有惊喜]

货号快速下单 | 签到送积分   | 会员中心 | 客服热线:400-021-2765

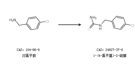
1-(4-氯苄基)-2-硫脲的合成路线

提问时间:2021/4/23 8:54:06
1-(4-氯苄基)-2-硫脲有什么方法可以合成?

1条回复:

匿名
2021/4/23 8:54:06
基本信息:
中文名称 1-(4-氯苄基)-2-硫脲
英文名称 1-(4-Chlorobenzyl)-2-thiourea
英文别名 (4-chlorophenyl)methylthiourea;
CAS号 24827-37-0

合成路线:
1.通过4-氯苄基硫氰酸酯合成1-(4-氯苄基)-2-硫脲


2.通过对氯苄胺合成1-(4-氯苄基)-2-硫脲


中华试剂网提醒:合成路线仅供参考
回复