基本信息:
中文名称 1-(3-羟基金刚烷-1-基)乙酮
中文别名 1-(3-羟基-1-金刚烷)-乙酮;3-羟基-1-乙酰金刚烷;
英文名称 1-(3-hydroxy-1-adamantyl)ethanone
英文别名 3-hydroxy-1-adamantanyl ketone;3-hydroxy-1-adamantyl methyl ketone;3-Acetyladamantan-1-ol;1-hydroxy-3-acetyladamantane;1-acetyl-3-adamantanol;1-acetyl-3-hydroxyadamantane;
CAS号 39917-38-9
合成路线:
1.通过1-金刚烷甲酮合成1-(3-羟基金刚烷-1-基)乙酮,收率约82%;

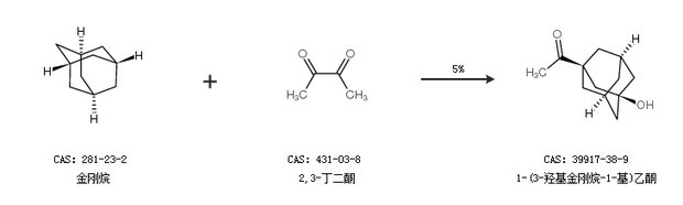
2.通过金刚烷和2,3-丁二酮合成1-(3-羟基金刚烷-1-基)乙酮,收率约5%;

中华试剂网提醒:合成路线仅供参考