基本信息:
中文名称 1-(2-萘甲酰基 )乙醇
中文别名 1-(2-萘甲酰基)乙醇;2-萘乙醇;2-(1-羟乙基)萘;1-(2-萘基)乙醇;α-甲基-2-萘基甲醇;
英文名称 1-(2-Naphthyl)ethanol
英文别名 1-naphthalen-2-ylethanol;
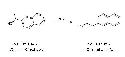
CAS号 7228-47-9
合成路线:
1.通过2-萘乙酮合成1-(2-萘甲酰基 )乙醇,收率约99%;

2.通过(S)-(-)-1-(2-萘基)乙醇合成1-(2-萘甲酰基 )乙醇,收率约92%;

中华试剂网提醒:合成路线仅供参考