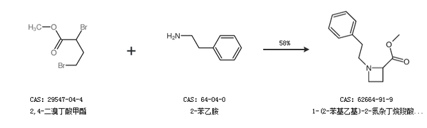
基本信息:
中文名称 1-(2-苯基乙基)-2-氮杂丁烷羧酸甲酯
英文名称 methyl 1-(2-phenylethyl)azetidine-2-carboxylate
英文别名 N-(2-Phenethyl)-2-(carbomethoxy)azetidine;Methyl 1-phenethylazetidine-2-carboxylate;2-Azetidinecarboxylic acid,1-(2-phenylethyl)-,methyl ester;
CAS号 62664-91-9
合成路线:
1.通过2,4-二溴丁酸甲酯和2-苯乙胺合成1-(2-苯基乙基)-2-氮杂丁烷羧酸甲酯,收率约58%;

中华试剂网提醒:合成路线仅供参考