基本信息:
中文名称 (S)-5-羟甲基二氢呋喃-2-酮
中文别名 (S)-γ-羟甲基-γ-丁内酯;(S)-(+)-γ-羟甲基-γ-丁内酯;(S)-(+)-二氢-5-(羟甲基)-2(3H)-呋喃酮;(S)-(+)-4-羟甲基丁内酯;
英文名称 (5S)-5-(hydroxymethyl)oxolan-2-one
英文别名 NSISJFFVIMQBRN-UHFFFAOYSA;(S)-(+)-γ-HydroxyMethyl-γ-butyrolactone;(S)-5-(Hydroxymethyl)dihydrofuran-2(3H)-one;(S)-(+)-5-Hydroxymethyltetrahydro-2-furanone;(S)-5-Hydroxymethyldihydrofuran-2-One;(S)-4,5-Dihydro-5-hydroxymethyl-2(3H)-furanone,(S)-5-Hydroxymethyl-2-oxotetrahydrofuran;(S)-(+)-4,5-Dihydro-5-hydroxymethyl-2(3H)-furanone;(S)-(+)-gamma-Hydroxymethyl-gamma-butyrolactone;
CAS号 32780-06-6
合成路线:
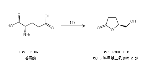
1.通过谷氨酸合成(S)-5-羟甲基二氢呋喃-2-酮,收率约64%;

2.通过(S)-(-)-5-羟甲基-2(5H)-呋喃酮合成(S)-5-羟甲基二氢呋喃-2-酮,收率约96%;

中华试剂网提醒:合成路线仅供参考