你好,欢迎来到中华试剂网 购试剂 买耗材! [请登录][注册有惊喜]

货号快速下单 | 签到送积分   | 会员中心 | 客服热线:400-021-2765

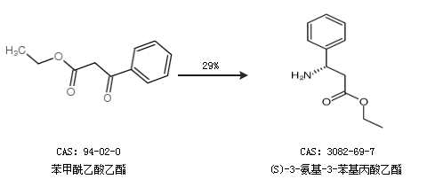
(S)-3-氨基-3-苯基丙酸乙酯的合成路线

提问时间:2021/4/23 8:54:04
(S)-3-氨基-3-苯基丙酸乙酯有什么方法可以合成?

1条回复:

匿名
2021/4/23 8:54:04
基本信息:
中文名称 (S)-3-氨基-3-苯基丙酸乙酯
英文名称 ethyl (3S)-3-amino-3-phenylpropanoate
英文别名 ethyl 3-amino-3-phenylpropionate;
CAS号 3082-69-7

合成路线:
1.通过苯甲酰乙酸乙酯合成(S)-3-氨基-3-苯基丙酸乙酯,收率约29%;


2.通过反式-肉桂酸乙酯合成(S)-3-氨基-3-苯基丙酸乙酯


中华试剂网提醒:合成路线仅供参考
回复