你好,欢迎来到中华试剂网 购试剂 买耗材! [请登录][注册有惊喜]

货号快速下单 | 签到送积分   | 会员中心 | 客服热线:400-021-2765

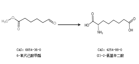
(S)-2-氨基辛二酸的合成路线

提问时间:2021/4/23 8:54:04
(S)-2-氨基辛二酸有什么方法可以合成?

1条回复:

匿名
2021/4/23 8:54:04
基本信息:
中文名称 (S)-2-氨基辛二酸
英文名称 (S)-2-Aminooctanedioic acid
英文别名 (2S)-2-aminooctanedioic acid;
CAS号 4254-88-0

合成路线:
1.通过6-氧代己酸甲酯合成(S)-2-氨基辛二酸


2.通过6-溴己酸甲酯合成(S)-2-氨基辛二酸


中华试剂网提醒:合成路线仅供参考
回复