基本信息:
中文名称 (S)-2-氨基-4-苯基丁酸乙酯
中文别名 L-高苯丙氨酸乙酯;
英文名称 ethyl (2S)-2-amino-4-phenylbutanoate
英文别名 (RS)-homophenylalanine ethyl ester;ethyl 2-amino-4-phenylbutyrate;(+-)-2-Amino-4-phenyl-buttersaeure-aethylester;(S)-ethyl2-amino-4-phenylbutanoate;(+-)-2-amino-4-phenyl-butyric acid ethyl ester;ethyl homophenylalanine;homophenylalanine ethyl ester;ethyl(2s)-2-amino-4-phenylbutanoate;ethyl L-2-amino-4-phenylbutyrate;
CAS号 46460-23-5
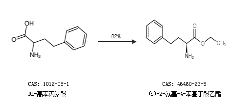
合成路线:
1.通过乙醇和DL-高苯丙氨酸合成(S)-2-氨基-4-苯基丁酸乙酯,收率约97%;

2.通过DL-高苯丙氨酸合成(S)-2-氨基-4-苯基丁酸乙酯,收率约82%;

中华试剂网提醒:合成路线仅供参考