基本信息:
中文名称 (S)-(-)-2-甲氧基丙酸
英文名称 (2S)-2-methoxypropanoic acid
英文别名 (S)-(-)-2-Methoxypropionic acid;L-2-Methoxy-propionsaeure;L-2-methoxypropionic acid;
CAS号 23953-00-6
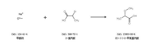
合成路线:
1.通过S)-(-)-2-甲氧基丙酸乙酯合成(S)-(-)-2-甲氧基丙酸,收率约99%;

2.通过甲醇钠和2-溴丙酸合成(S)-(-)-2-甲氧基丙酸

中华试剂网提醒:合成路线仅供参考