基本信息:
中文名称 (R)-2-羟基丁基甲苯磺酸
英文名称 (R)-2-HYDROXYBUTYL TOSYLATE
英文别名 DL-SodiuM 2-Hydroxybutyrate;sodium 2-hydroxobutanoate;(RS)-1-p-toluenesulfonyloxy-2-butanol;(-)-1,2-butanediol monotosylate;sodium DL-2-hydroxybutanoate;2-hydroxybutyl p-toluenesulfonate;sodium 2-hydroxybutanoate;(R/S)-1,2-Butandiol-1-<(4-methylbenzol)sulfonat>;1-(Tosyloxy)butan-2-ol;2-HYDROXYBUTYRIC ACID SODIUM SALT;2-hydroxybutanoic acid,sodium salt;DL-2-Hydroxybutyricacidsodiumsalt;SODIUM DL-2-HYDROXY-N-BUTYRATE;DL-2-HYDROXY-N-BUTYRIC ACID SODIUM SALT;
CAS号 143693-24-7
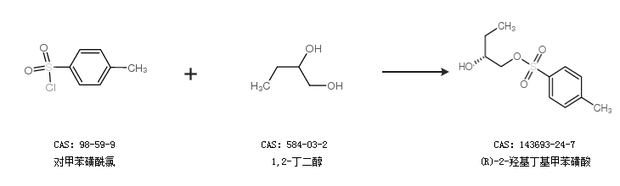
合成路线:
1.通过对甲苯磺酰氯和1,2-丁二醇合成(R)-2-羟基丁基甲苯磺酸,收率约87%;

2.通过对甲苯磺酰氯和1,2-丁二醇合成(R)-2-羟基丁基甲苯磺酸

中华试剂网提醒:合成路线仅供参考