基本信息:
中文名称 (R)-2-(4-(4-氯苄基)-4H-1,2,4-噻唑-3-基)吡咯烷-1-羧酸叔丁酯
英文名称 tert-butyl (2R)-2-[4-[(4-chlorophenyl)methyl]-1,2,4-triazol-3-yl]pyrrolidine-1-carboxylate
CAS号 1140495-86-8
合成路线:
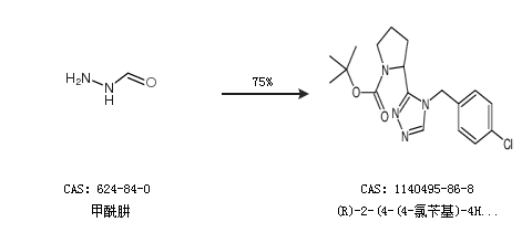
1.通过甲酰肼合成(R)-2-(4-(4-氯苄基)-4H-1,2,4-噻唑-3-基)吡咯烷-1-羧酸叔丁酯,收率约75%;

中华试剂网提醒:合成路线仅供参考