基本信息:
中文名称 (5R)-n-(叔丁氧基羰基)-3,4,5,6-四氢-5-苯基-4(h)-1,4-噁嗪-2-酮
中文别名 (5R)-N-叔丁氧羰基-3,4,5,6-四氢-5-苯基-4(H)-1,4-恶唑-3-酮;(R)-2-氧代-5-苯基-4-吗啉羧酸叔丁酯;
英文名称 (5R)-N-(TERT-BUTOXYCARBONYL)-3,4,5,6-TETRAHYDRO-5-PHENYL-4(H)-1,4-OXAZIN-2-ONE
CAS号 119878-90-9
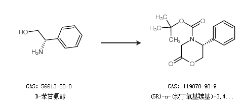
合成路线:
1.通过(5R)-3,4,5,6-四氢-5-苯基-4(H)-1,4-恶嗪-2-酮合成(5R)-n-(叔丁氧基羰基)-3,4,5,6-四氢-5-苯基-4(h)-1,4-噁嗪-2-酮,收率约78%;

2.通过D-苯甘氨醇合成(5R)-n-(叔丁氧基羰基)-3,4,5,6-四氢-5-苯基-4(h)-1,4-噁嗪-2-酮

中华试剂网提醒:合成路线仅供参考