你好,欢迎来到中华试剂网 购试剂 买耗材! [请登录][注册有惊喜]

货号快速下单 | 签到送积分   | 会员中心 | 客服热线:400-021-2765

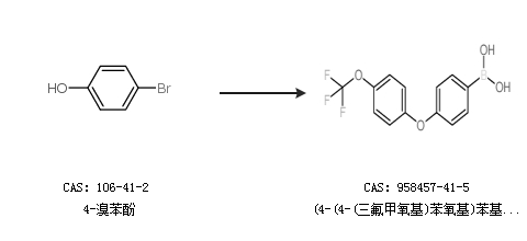
(4-(4-(三氟甲氧基)苯氧基)苯基)硼酸的合成路线

提问时间:2021/4/23 8:54:03
(4-(4-(三氟甲氧基)苯氧基)苯基)硼酸有什么方法可以合成?

1条回复:

匿名
2021/4/23 8:54:03
基本信息:
中文名称 (4-(4-(三氟甲氧基)苯氧基)苯基)硼酸
英文名称 [4-[4-(trifluoromethoxy)phenoxy]phenyl]boronic acid
CAS号 958457-41-5

合成路线:
1.通过4-溴苯酚合成(4-(4-(三氟甲氧基)苯氧基)苯基)硼酸


2.通过1-碘-4-(三氟甲氧基)苯合成(4-(4-(三氟甲氧基)苯氧基)苯基)硼酸


中华试剂网提醒:合成路线仅供参考
回复