基本信息:
中文名称 (3-氯二苯-4-基)胺.HCL
英文名称 4-(3-chlorophenyl)aniline
英文别名 3''-chlorobiphenyl-4-amine;4-Amino-3''-chlor-biphenyl;3''-chlorobiphenyl-4-ylamine;
CAS号 5748-36-7
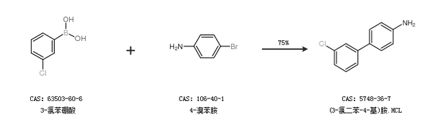
合成路线:
1.通过3-氯苯硼酸和4-溴苯胺合成(3-氯二苯-4-基)胺.HCL,收率约75%;

2.通过3-氯苯硼酸和对碘苯胺合成(3-氯二苯-4-基)胺.HCL

中华试剂网提醒:合成路线仅供参考