基本信息:
中文名称 (3S,4s)-4-叔丁基氧基羰基氨基-3-羟基-5-苯基戊酸
英文名称 3-hydroxy-4-[(2-methylpropan-2-yl)oxycarbonylamino]-5-phenylpentanoic acid
英文别名 ethyl (3S,4S)-4-(tert-butoxycarbonylamino)-3-hydroxy-5-phenylpentanoate;(3S,4S)-4-tert-butoxycarbonyl amino-3-hydroxy-5-phenyl-pentanoic acid ethyl ester;ethyl (3S,4S)-N-methyl-4-amino-3-hydroxy-5-phenylpentanoate;(3S,4S)-4-T-BUTYLOXYCARBONYLAMINO-3-HYDROXY-5-PHENYL-PENTANOIC ACID;(3R,4S)-N-(TERT-BUTOXYCARBONYL)-4-AMINO-3-HYDROXY-5-PHENYLPENTANOIC ACID;(3S,4S)-ethyl 4-((tert-butoxycarbonyl)amino)-3-hydroxy-5-phenylpentanoate;Boc-(3S,4S)-4-amino-3-hydroxy-5-phenylpentanoic acid ethyl ester;ethyl (3S,4S)-4-[N-(tert-butoxycarbonyl)amino]-3-hydroxy-5-phenylpentanoate;
CAS号 72155-46-5
合成路线:
1.通过乙醇合成(3S,4s)-4-叔丁基氧基羰基氨基-3-羟基-5-苯基戊酸,收率约80%;

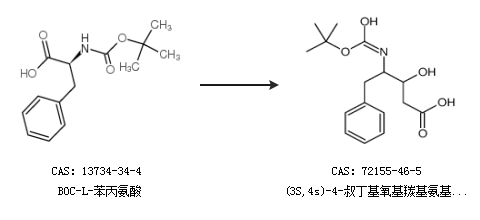
2.通过BOC-L-苯丙氨酸合成(3S,4s)-4-叔丁基氧基羰基氨基-3-羟基-5-苯基戊酸

中华试剂网提醒:合成路线仅供参考