你好,欢迎来到中华试剂网 购试剂 买耗材! [请登录][注册有惊喜]

货号快速下单 | 签到送积分   | 会员中心 | 客服热线:400-021-2765

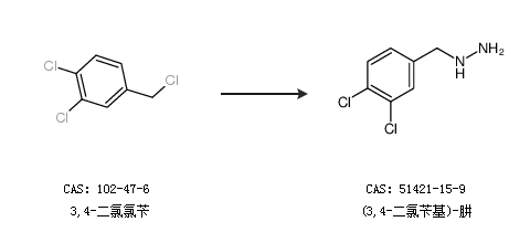
(3,4-二氯苄基)-肼的合成路线

提问时间:2021/4/23 8:54:03
(3,4-二氯苄基)-肼有什么方法可以合成?

1条回复:

匿名
2021/4/23 8:54:03
基本信息:
中文名称 (3,4-二氯苄基)-肼
英文名称 (3,4-dichlorophenyl)methylhydrazine
英文别名 (3,4-DICHLORO-BENZYL)-HYDRAZINE;[(3,4-dichlorophenyl)methyl]hydrazine;F2158-1485;
CAS号 51421-15-9

合成路线:
1.通过3,4-二氯氯苄合成(3,4-二氯苄基)-肼


中华试剂网提醒:合成路线仅供参考
回复