基本信息:
中文名称 (2-氨基-2-氧代乙基)磷酸二乙酯
英文名称 2-diethoxyphosphorylacetamide
英文别名 diethyl ester of 2-amino-2-oxoethylphosphonic acid;2-amino-2-oxoethylphosphonic acid diethyl ester;diethyl aminocarbonylmethylphosphonate;Diethyl carbamoylmethylphosphonate;Diethylphosphonoacetamide;
CAS号 5464-68-6
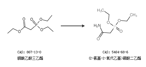
合成路线:
1.通过氯乙酰胺和亚磷酸三乙酯合成(2-氨基-2-氧代乙基)磷酸二乙酯,收率约70%;

2.通过膦酰乙酸三乙酯合成(2-氨基-2-氧代乙基)磷酸二乙酯

中华试剂网提醒:合成路线仅供参考