基本信息:
中文名称 (2S,3R)-3-(Boc-氨基)-2-羟基-4-苯基丁酸
中文别名 (2S,3R)-3-(BOC-氨基)-2-羟基-4-苯基丁酸;Boc-(2S,3R)-3-氨基-2-羟基-4-苯基丁酸;
英文名称 (2S,3R)-2-hydroxy-3-[(2-methylpropan-2-yl)oxycarbonylamino]-4-phenylbutanoic acid
CAS号 62023-65-8
合成路线:
1.通过(2S,3s)-3-氨基-2-羟基-4-苯基丁酸合成(2S,3R)-3-(Boc-氨基)-2-羟基-4-苯基丁酸

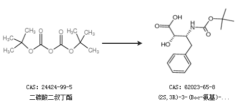
2.通过二碳酸二叔丁酯合成(2S,3R)-3-(Boc-氨基)-2-羟基-4-苯基丁酸

中华试剂网提醒:合成路线仅供参考