基本信息:
中文名称 (2S,3r)-2-((s)-1-(3,5-双(三氟甲基)苯基)乙氧基)-3-(4-氟苯基)吗啉
中文别名 (2S,3R)-2-[(1S)-1-[3,5-双(三氟甲基)苯基]乙氧基]-3-(4-氟苯基)吗啉盐酸盐;
英文名称 (2S,3R)-2-[(1S)-1-[3,5-bis(trifluoromethyl)phenyl]ethoxy]-3-(4-fluorophenyl)morpholine
英文别名 (2R,3S)-2-{(1R)-1-[3,5-bis-trifluoromethylphenyl]ethoxy}-3-(4-fluorophenyl)morpholine;(2S,3R)-2-[(1S)-1-(3,5-bis-trifluoro-methylphenyl)ethoxy]-3-(4-fluorophenyl)morpholine;QC-634;(2S,3R)-2-((S)-1-(3,5-bis(trifluoromethyl)phenyl)ethoxy)-3-(4-fluorophenyl)morpholine;2s,3r------s;
CAS号 327623-37-0
合成路线:
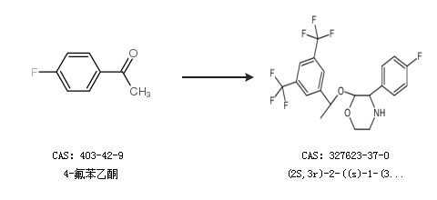
1.通过4-氟苯乙酮合成(2S,3r)-2-((s)-1-(3,5-双(三氟甲基)苯基)乙氧基)-3-(4-氟苯基)吗啉

中华试剂网提醒:合成路线仅供参考