基本信息:
中文名称 (2S,3AS,7AS)-1-[2-[乙氧基羰基-(S)-胺基]-(S)-丙酰基八氢吲哚-2-羧酸苄酯]
中文别名 (2S,3aS,7aS)-1-[(2S)-2-[[(1S)-1-(乙氧基羰基)丁基]氨基]-1-氧代丙基]八氢-1H-吲哚-2-羧酸苄酯;
英文名称 benzyl 1-[2-[(1-ethoxy-1-oxopentan-2-yl)amino]propanoyl]-2,3,3a,4,5,6,7,7a-octahydroindole-2-carboxylate
英文别名 1-[2-[(1-ethoxy-1-oxopentan-2-yl)amino]-1-oxopropyl]-2,3,3a,4,5,6,7,7a-octahydroindole-2-carboxylic acid (phenylmethyl) ester;(phenylmethyl) 1-[2-[(1-ethoxy-1-oxidanylidene-pentan-2-yl)amino]propanoyl]-2,3,3a,4,5,6,7,7a-octahydroindole-2-carboxylate;(2S,3aS,7aS)-1-[(2S)-2-[[(1S)-1-(ethoxycarbonyl)butyl]amino]-1-oxopropyl]octahydro-1H-indole-2-carboxylic acid benzyl ester;benzyl (2S,3aS,7aS)-1-{(2S)-2-[(1S)-1-(ethoxycarbonyl)-butylamino]-propionyl}-octahydro-1H-indole-2-carboxylate;(2S,3aS,7aS)-1-[(2S)-2-[[(1S)-1-(ethoxycarbonyl)butyl]amino]propanoyl]octahydro-1H-indole-2-carboxylic acid benzyl ester;(2S,3aS,7aS)-1-{(S)-2-[(S)-1-ethoxycarbonyl-butylamino]-propionyl}-octahydro-indole-2-carboxylic acid benzyl ester;Perindopril benzyl salicylate;(2S,3aS,7aS)-1-{2-[1-(ethoxycarbonyl)-(S)-butylamine]-(S)-propionyl}octahydroindole-2-carboxylic acid benzyl ester;perindopril benzyl ester;
CAS号 122454-52-8
合成路线:
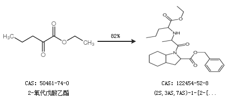
1.通过2-氧代戊酸乙酯合成(2S,3AS,7AS)-1-[2-[乙氧基羰基-(S)-胺基]-(S)-丙酰基八氢吲哚-2-羧酸苄酯],收率约82%;

2.通过N-[(S)-乙氧羰基-1-丁基]-(S)-丙氨酸合成(2S,3AS,7AS)-1-[2-[乙氧基羰基-(S)-胺基]-(S)-丙酰基八氢吲哚-2-羧酸苄酯],收率约89%;

中华试剂网提醒:合成路线仅供参考