基本信息:
中文名称 (1S,4S)-4-叔丁氧羰基氨基环己烷甲酸
中文别名 顺-4-(叔丁氧羰氨基)环己甲酸;顺式-4-(BOC-氨基)环己烷羧酸;顺式-4-(Boc-氨基)环己烷羧酸;顺-4-保护的氨基环己甲酸;顺式-4-叔丁氧羰酰胺环己羧酸;
英文名称 Cis-4-(Boc-Amino)Cyclohexanecarboxylic Acid
英文别名 cis-4-(Boc-amino)cyclohexanecarboxylic acid;CIS-4-(BOC-AMINO)CYCLOHEXANECARBOXYLIC ACID;cis-4-(tert-ButoxycarbonylaMino)cyclohexanecarboxylic Acid;cis-4-((tert-Butoxycarbonyl)amino)cyclohexanecarboxylic acid;
CAS号 53292-90-3
合成路线:
1.通过二碳酸二叔丁酯合成(1S,4S)-4-叔丁氧羰基氨基环己烷甲酸,收率约99%;

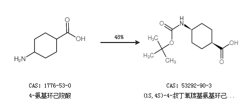
2.通过4-氨基环己羧酸合成(1S,4S)-4-叔丁氧羰基氨基环己烷甲酸,收率约48%;

中华试剂网提醒:合成路线仅供参考