你好,欢迎来到中华试剂网 购试剂 买耗材! [请登录][注册有惊喜]

货号快速下单 | 签到送积分   | 会员中心 | 客服热线:400-021-2765

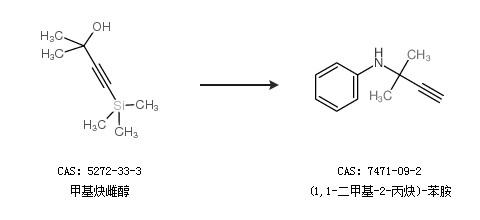
(1,1-二甲基-2-丙炔)-苯胺的合成路线

提问时间:2021/4/23 8:54:02
(1,1-二甲基-2-丙炔)-苯胺有什么方法可以合成?

1条回复:

匿名
2021/4/23 8:54:02
基本信息:
中文名称 (1,1-二甲基-2-丙炔)-苯胺
英文名称 N-(2-methylbut-3-yn-2-yl)aniline
英文别名 3-methyl-3-phenylamino-1-butyne;
CAS号 7471-09-2

合成路线:
1.通过甲基炔雌醇合成(1,1-二甲基-2-丙炔)-苯胺


2.通过2-甲基-3-丁炔-2-醇合成(1,1-二甲基-2-丙炔)-苯胺


中华试剂网提醒:合成路线仅供参考
回复