你好,欢迎来到中华试剂网 购试剂 买耗材! [请登录][注册有惊喜]

货号快速下单 | 签到送积分   | 会员中心 | 客服热线:400-021-2765

4-氨基九氟联苯的合成路线有哪些?

提问时间:2021/4/22 12:49:25
4-氨基九氟联苯有什么方法可以合成?

1条回复:

匿名
2021/4/22 12:49:25
基本信息:
中文名称 4-氨基九氟联苯
英文名称 4-Aminononafluorobiphenyl
英文别名 2,3,5,6-tetrafluoro-4-(2,3,4,5,6-pentafluorophenyl)aniline;
CAS号 969-25-5

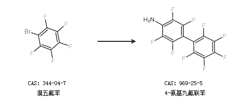
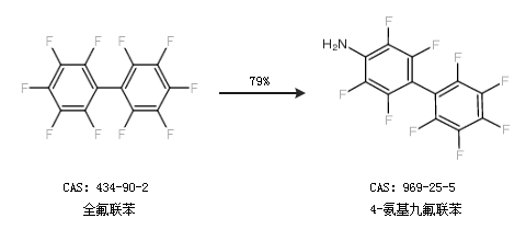
合成路线:
1.通过全氟联苯合成4-氨基九氟联苯,收率约79%;


2.通过溴五氟苯合成4-氨基九氟联苯


合成路线仅供参考
回复