你好,欢迎来到中华试剂网 购试剂 买耗材! [请登录][注册有惊喜]

货号快速下单 | 签到送积分   | 会员中心 | 客服热线:400-021-2765

2-乙酰苯并咪唑的合成路线有哪些?

提问时间:2021/4/22 12:49:25
2-乙酰苯并咪唑有什么方法可以合成?

1条回复:

匿名
2021/4/22 12:49:25
基本信息:
中文名称 2-乙酰苯并咪唑
中文别名 (试剂)1-(1H-BENZIMIDAZOL-2-YL)ETHANONE;
英文名称 1-(1H-Benzo[d]imidazol-2-yl)ethanone
英文别名 2-Acetylbenzimidazole;
CAS号 939-70-8

合成路线:
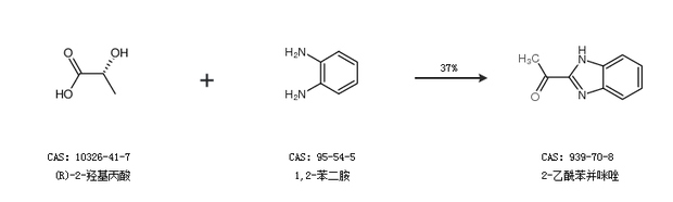
1.通过(R)-2-羟基丙酸和1,2-苯二胺合成2-乙酰苯并咪唑,收率约37%;


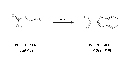
2.通过乙酸乙酯合成2-乙酰苯并咪唑,收率约94%;


合成路线仅供参考
回复