基本信息:
中文名称 1-Boc-6-苄氧基吲哚
中文别名 6-苄氧基-1H-吲哚-1-羧酸叔丁酯;
英文名称 tert-butyl 6-phenylmethoxyindole-1-carboxylate
英文别名 6-benzyloxy-indole-1-carboxylic acid tert-butyl ester;1-BOC-6-benzyloxyindole;
CAS号 933474-39-6
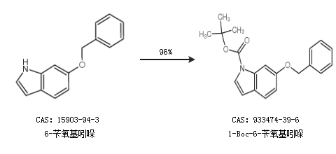
合成路线:
1.通过6-苄氧基吲哚合成1-Boc-6-苄氧基吲哚,收率约96%;

合成路线仅供参考