你好,欢迎来到中华试剂网 购试剂 买耗材! [请登录][注册有惊喜]

货号快速下单 | 签到送积分   | 会员中心 | 客服热线:400-021-2765

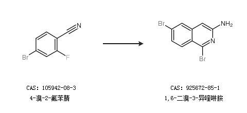
1,6-二溴-3-异喹啉胺的合成路线有哪些?

提问时间:2021/4/22 12:49:25
1,6-二溴-3-异喹啉胺有什么方法可以合成?

1条回复:

匿名
2021/4/22 12:49:25
基本信息:
中文名称 1,6-二溴-3-异喹啉胺
英文名称 1,6-dibromoisoquinolin-3-amine
英文别名 3-Isoquinolinamine,1,6-dibromo;
CAS号 925672-85-1

合成路线:
1.通过5-溴-2-氰基苯乙腈合成1,6-二溴-3-异喹啉胺,收率约60%;


2.通过4-溴-2-氟苯腈合成1,6-二溴-3-异喹啉胺


合成路线仅供参考
回复