你好,欢迎来到中华试剂网 购试剂 买耗材! [请登录][注册有惊喜]

货号快速下单 | 签到送积分   | 会员中心 | 客服热线:400-021-2765

3-(2-羟基苯氧基)-2-丁酮的合成路线有哪些?

提问时间:2021/4/22 12:49:25
3-(2-羟基苯氧基)-2-丁酮有什么方法可以合成?

1条回复:

匿名
2021/4/22 12:49:25
基本信息:
中文名称 3-(2-羟基苯氧基)-2-丁酮
英文名称 3-(2-hydroxyphenoxy)butan-2-one
英文别名 3-(2-hydroxyphenoxy)-2-butanone;hydroxyphenoxybutanone;(+-)-3-<2-Hydroxy-phenoxy>-butanon-(2);
CAS号 91061-42-6

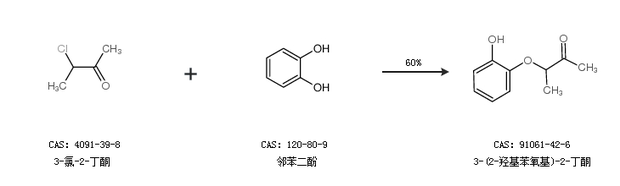
合成路线:
1.通过3-氯-2-丁酮和邻苯二酚合成3-(2-羟基苯氧基)-2-丁酮,收率约60%;


合成路线仅供参考
回复