你好,欢迎来到中华试剂网 购试剂 买耗材! [请登录][注册有惊喜]

货号快速下单 | 签到送积分   | 会员中心 | 客服热线:400-021-2765

7-氯-4-羟基喹啉的合成路线有哪些?

提问时间:2021/4/22 12:49:24
7-氯-4-羟基喹啉有什么方法可以合成?

1条回复:

匿名
2021/4/22 12:49:24
基本信息:
中文名称 7-氯-4-羟基喹啉
中文别名 哌喹杂质II;7-氯喹啉-4-醇;4-羟基-7-氯喹啉;
英文名称 7-Chloro-4-hydroxyquinoline
英文别名 7-Chloroquinolin-4-ol;
CAS号 86-99-7

合成路线:
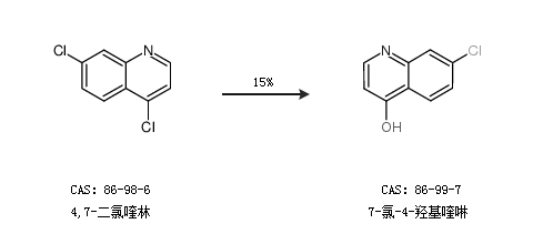
1.通过4,7-二氯喹林合成7-氯-4-羟基喹啉,收率约7%;


2.通过4,7-二氯喹林合成7-氯-4-羟基喹啉,收率约15%;


合成路线仅供参考
回复