你好,欢迎来到中华试剂网 购试剂 买耗材! [请登录][注册有惊喜]

货号快速下单 | 签到送积分   | 会员中心 | 客服热线:400-021-2765

5-氨基-2-萘酚的合成路线有哪些?

提问时间:2021/4/22 12:49:24
5-氨基-2-萘酚有什么方法可以合成?

1条回复:

匿名
2021/4/22 12:49:24
基本信息:
中文名称 5-氨基-2-萘酚
英文名称 5-Amino-2-Naphthol
英文别名 5-aminonaphthalen-2-ol;
CAS号 86-97-5

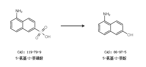
合成路线:
1.通过5-氨基-2-萘磺酸合成5-氨基-2-萘酚


2.通过4-氨基萘-1,7-二磺酸合成5-氨基-2-萘酚


合成路线仅供参考
回复